Welcome to Ben Greenfield’s Weekly Roundup!
On this weekly put up, I share with you my most fascinating discoveries of the week, together with the most recent information on the fronts of health, diet, well being, wellness, biohacking, and anti-aging analysis. I additionally recap my upcoming occasions and particular bulletins so you’ll be able to sustain with alternatives to be taught, giveaways, reductions, and extra!
New Discoveries
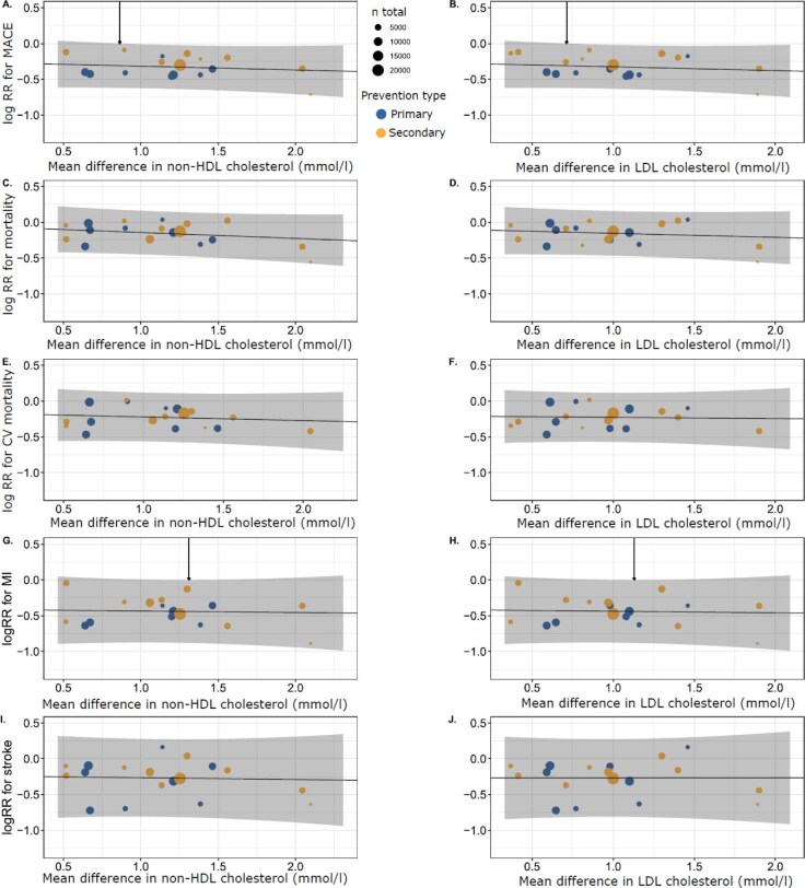
Learn This If You’re on a Statin (or Contemplating One) 🫀🧬📉

This may change how you concentrate on ldl cholesterol, particularly for those who’ve been advised that “decrease LDL in any respect prices” is the entire heart-health story.
A brand new evaluate and meta-analysis of practically 200,000 sufferers throughout 20 randomized statin trials discovered that the connection between LDL (or non-HDL ldl cholesterol) discount and precise cardiovascular outcomes is surprisingly weak.
Sure, statins scale back occasions general, however how a lot LDL drops explains nearly none of the discount in coronary heart assaults, strokes, or mortality.
Within the evaluate, decrease LDL regarded good on paper, but it surely failed as a dependable predictor of real-world outcomes. This reinforces earlier findings from a 2022 JAMA Inner Medication evaluation, which confirmed related cracks within the LDL-centric mannequin.
Now, nuance issues right here. Should you’re metabolically infected, insulin resistant, have current coronary heart illness, or have a robust household historical past of it, statins can completely be useful.
However this examine helps what I’ve stated for years: LDL is a marker, not a grasp change. Cardiovascular danger is pushed by irritation, endothelial operate, oxidative stress, metabolic well being, nervous system steadiness, sleep, and way of life—not only a single ldl cholesterol quantity.
The massive takeaway right here is that reducing LDL alone isn’t the identical as reducing coronary heart illness danger.
If you wish to go deeper into smarter coronary heart testing, irritation markers, way of life methods, and when meds really make sense, you’ll be able to try the extra assets under:
Improve Your Well being in Much less Than 30 Days with LIFE Premium for $1 💪

Making an attempt to improve your well being however overwhelmed by conflicting recommendation, excessive costs, and too many choices?
LIFE Premium supplies you with easy steerage, trusted consultants, and a supportive neighborhood, multi functional place.
It’s often $12.99/month, however proper now you’ll be able to obtain 1 month of LIFE Premium for simply $1.
LIFE Premium offers you a completely built-in well being ecosystem that features:
- 🤖 Ellen: Your private AI well being assistant to ask limitless questions, set targets, and construct personalised wellness plans.
- 🫶 Group + Occasions: Join with like-minded members, share wins, and be part of reside occasions.
- 📚 Advert-Free Library: Podcasts (together with Boundless Life), exercises, recipes, articles, movies, and skilled content material.
- 💬 Teams: Be part of targeted conversations and construct actual connections round your well being targets.
- 📍 Locations: Discover wholesome gyms, yoga studios, eating places, and wellness spots close to you.
- 🏋️ TRIUMPH Group Teaching: Day by day exercises + small group teaching classes led by elite coaches I’ve personally skilled.
Every part works collectively in a single easy system, so that you don’t must determine it out alone.
This Week in Well being & Efficiency: What the Newest Analysis Says
💪 The Finest Train Combo for Blood Sugar Management: New analysis reveals that pairing power coaching with cardio train, particularly high-intensity interval coaching (HIIT), is the simplest method to enhance blood sugar administration, outperforming both strategy alone. If metabolic well being is your purpose, this combo is hard to beat (examine right here).
🧠 Magnesium That Makes Your Mind Youthful: In a stunning six-week trial, supplementation with magnesium L-threonate (Magtein®) decreased cognitive age by as much as 7.5 years in comparison with placebo, with extra advantages for sleep and psychological efficiency (learn extra right here).
❤️ An Missed, Low-Value Technique to Battle Arterial Plaque: This deep-dive highlights an affordable intervention proven to halt, and even reverse, plaque accumulation, a discovering that’s been largely ignored by mainstream cardiology for many years (go deeper right here).
Key Takeaways: Good coaching combos, focused micronutrients, and ignored cardiovascular methods can ship outsized returns, even with out fancy instruments or excessive protocols.
Need to dive deeper? Click on the hyperlinks above to discover the analysis, and click on right here to observe me on X for all the most recent well being and efficiency information scorching off the press!
Product Of The Week
::: Quick With Extra Vitality, Readability, and Zero Crashes (& Get a FREE Pattern Pack w/ Your Buy) :::
Too many individuals strive fasting and fully overlook about electrolytes, then marvel why they really feel dizzy, weak, crampy, or worn out midway via.
That often will get blamed on “not consuming,” and sure, a bit starvation is a part of the deal. However fasting mustn’t make you lightheaded, exhausted, or liable to muscle cramps. These are basic indicators of electrolyte depletion.
Throughout a quick, you cease replenishing electrolytes from meals whereas your physique concurrently excretes extra sodium (a course of referred to as natriuresis of fasting), creating the proper setup for feeling terrible.
If you wish to preserve power, psychological readability, and bodily efficiency whereas fasting, electrolytes aren’t non-obligatory—they’re important.
The issue is that almost all electrolyte merchandise are both loaded with sugar or severely underdosed.
That’s the place LMNT shines.
Created by former analysis biochemist Robb Wolf and Ketogains founder Luis Villaseñor, LMNT delivers significant doses of sodium, potassium, and magnesium, with zero sugar, no synthetic colours, and no junk substances to sabotage your quick.
And it really tastes good! Fan favorites embrace Citrus Salt and Raspberry Salt, Mango Chili for those who like some warmth, or Chocolate Salt blended into espresso for a legit mocha-style improve.
Should you’re able to expertise the distinction for your self, you’ll be able to head to their web site right here and get a FREE LMNT Pattern Pack with any drink combine or glowing buy.
Podcasts I Recorded This Week:


The Newest Content material I Was Featured On This Week:
Biohacking the Vagus Nerve f. Ben Greenfield — The Well being Improve Podcast
Ben Greenfield on Elevating Wholesome Youngsters, Being pregnant Health, and Dad Preparation
My Article Feed:
My full article feed and all archives of my articles are right here.
Upcoming Occasions:
“Turn into Boundless” Longevity Retreat — April 29–Might 3, 2026
Be part of Ben Greenfield and Dr. Matthew Cook dinner in Nassau, Bahamas, at Champion Spirit Nation Membership for the “Turn into Boundless” Longevity Retreat. This immersive, all-inclusive expertise facilities on every day exercises and mobility coaching, superior longevity and restoration therapies, expert-led workshops and Q&As, guided breathwork and meditation, and natural, nutrient-dense meals. You’ll have hands-on entry to modern modalities, together with hyperbaric oxygen, cryotherapy, distinction remedy, chilly plunges, purple gentle sauna, and performance-focused remedies, all woven right into a luxurious, ocean-adjacent coaching atmosphere designed to help deep restoration, resilience, and sustained vitality. Discover particulars and reserve your spot right here.
Keep tuned for future updates—and you’ll at all times sustain with my LIVE appearances by testing bengreenfieldlife.com/calendar!
This Week’s Most Fashionable Instagram Put up:
This Week’s Most Fashionable Tweet:
This Week’s Most Fashionable Fb Put up:
Ben




